modul iv tugas pendahuluan


Rancanglah rangkaian inverting amplifier sesuai pada percobaan dan ganti resistor dengan ukuran 3,3k ohm untuk R1 dan R2, atur tegangan input menjadi 2.2 V serta catatlah tegangan output yang dihasilkan.

       
  




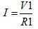
Rangkaian tersebut merupakan rangkaian inverting amplifier. Pada rangkaian ini digunakan resistor sebesar 3.3k ohm sebanyak 2 buah, VCC 12V dan VEE -12V serta dengan Vin -2,2V. Rangkaian inverting amplifier bekerja untuk memperkuat tegangan input dan membalik polaritas sinyal masukan sebesar 180 derajat. Penguat ini dinamakan penguat inverting karena masukan dari penguat tersebut adalah masukan inverting dari Op Amp. Prinsip kerja rangkaian ini yaitu saat ada tegangan input yang menjadi masukan inverting op amp arus akan mengalir pada R1 lalu arus akan mengalir ke R2, impedansi pada kaki inverting lebih besar sehingga arus akan mengalir ke R2. Sehingga rangkaian akan berbentuk rangkaian seri. Untuk mendapatkan besar arus pada R1 dapat digunakan rumus :                   
Besarnya arus pada R1 sama dengan arus pada R2. 
Lalu arus akan mengalir ke kaki output karena impedansi nya(Z) lebih kecil. Lalu tegangan output yang dihasilkan dapat diperoleh dari rumus :

Vout =( -Rf/Ri) Vin

Pada rangkaian diatas tegangan output yang dihasilkan sebesar -2.2 V. Kegunaan VCC dan VEE pada op amp yaitu sebagai batasan. Apabila tegangan output lebih besar atau lebih kecil dari VCC dan VEE maka nilai Vout nya akan dipotong sesuai dengan batasannya. 

5. Link Download[Kembali] 
File Rangkaian disini
Video Simulasi disini
File HTML disini

Tidak ada komentar:

Posting Komentar